引言

在进入正题之前,这里有一道ACM的变种题,大意是 求NNN^N 的值。

普通幂运算

Problem Description

Given a positive integerNN, you should output the value ofNNN^N. (N10N\leq10)

这道题非常容易,我们只需对NNN1N-1循环即可。

接下来,难度提升:前提条件由原来的(N10)(N \le 10)更换为:(N1000000000)(N \le 1000000000).


难道我们为了做这一道题,将程序循环 1000000000-1 次吗?

不难发现,这样的处理方法在时间复杂度上,是喜闻乐见的O(n)O(n)

除此之外,如果是在32位计算机中,int 数据类型读取二进制32位,根据 补码 的相关知识,我们知道,最高位用作判断正负号. 因此,int 数据所能表示的范围是:2312311-2^{31}\sim 2^{31}-1
21474836482147483647-2147483648\sim 2147483647.

显然 极端一点 想要求100000000010000000001000000000^{1000000000} 是 “难于上青天”。

所以,实际上,这道升级过后的题要求并不是直接求,而是要求给出 结果的 个位

For each test case, you should output the rightmost digit ofNNN^N.

取模问题

我们知道,求个位数,相当于将结果对10取模。但是经由上述分析我们发现,原结果都无法求,更别说将结果mod10\mod 10 了。

为此我们需要深入了解一下模运算的规律,从中找寻简便算法。

下面,我们给出模运算的一些基本运算规则:( % 表示取模)

1.(a+b)  %  c=(a  %  c+b  %  c)  %  c2.(ab)  %  c=(a  %  cb  %  c)  %  c3.(a×b)  %  c=(a  %  c×b  %  c)  %  c\begin{aligned} 1.(a + b) \; \% \;c = (a \;\%\; c + b\; \% \; c) \;\%\; c \\ 2.(a - b)\; \% \;c = (a \;\%\; c - b \;\%\; c ) \;\%\; c \\ 3. (a \times b) \;\%\; c = (a \;\%\; c \times b \;\%\; c) \;\%\;c \end{aligned}

第三个公式中发现化简计算的巧门。

在循环求幂时,我们完全可以在进行乘法运算前分别取模,这样大大缩减了 数据规模,不会数据溢出了。

循环节

接下来我们再停下脚步,思考这样一个问题:

  1. 既然求个位数,那么取值必定在090 \sim 9 之间
  2. 结果共只有 10 种可能,之间是否存在规律
  3. 不难发现2n2^n 的个位数与12n12^n 个位数相同,所以结果 只需关注 N 的个位数
  4. 注意到2n2^nnn 的变化,其结果的个位数成周期性变化,变化规律为:2、4、8、6一次循环

出现循环的原因

这样的循环原理可追溯到 抽屉原理 (又称:鸽巢原理)

假如有n+1n+1 个元素放到nn 个集合中去,其中必定有一个集合里至少有两个元素

而前面的思考中,我们发现有结果有10个可能性,那么保险起见,取长度为11的数组保存依次的结果的话,必定出现两个相同的结果。

而:

数据按照一定规律变化的过程中,如果出现与前面相同的结果,那么由于规律不变,必定产生循环

2n2^n 为例,当其结果的个位数为 4 时,2n+12^{n+1} 的结果个位数也就是4×24\times2 的结果的个位数。依次推下去,就会出现循环了。

进而,我们把1、3、4、5、6、7、8、9对应的循环都找出来,用 打表法 即可得到答案,时间复杂度O(1)O(1).

总结以上经验之后,我们得到了如下的AC代码(C++)

1
2
3
4
5
6
7
8
9
10
11
12
13
14
15
16
17
18
19
20
21
22
23
24
25
26
27
#include "bits/stdc++.h"

using namespace std;

vector<int> res[10] = {{0},
{1},
{2, 4, 8, 6},
{3, 9, 7, 1},
{4, 6},
{5},
{6},
{7, 9, 3, 1},
{8, 4, 2, 6},
{9, 1}};

int main(){
int t;
cin >> t;
while(t--){
int n;
cin >> n;
size_t pos = n%(res[n%10].size());
pos = (pos)?(pos-1):(res[n%10].size()-1);
cout << res[n%10][pos] << endl;
}
return 0;
}

引言 · 完

快速幂算法| Quick Power

前面我们提到,如果需要我们利用计算机求出给定实数aa 和自然数bb 的幂乘结果aba^b ,那么我们很容易想到的一种方法就是不断循环进行乘积,具体过程可以用如下式子表示:

ab=(((((aa)a)a)a)a)a^b=(((((a*a)*a)*a)*a)*\cdots*a)

其时间复杂度为Θ(n)\Theta(n). 那么有没有可以降低运行时间的算法呢?The answer is yes

快速幂算法的核心思想就是每一步都把指数分成两半,而相应的底数做平方运算

这样不仅能把非常大的指数给不断变小,所需要执行的循环次数也变小,而最后表示的结果却一直不会变。下面来具体阐述一下其算法思想。

考虑两种情况,指数bb 为偶数和奇数。

bb 为偶数时,我们可以将aba^b 的问题分解为求ab/2ab/2a^{b/2}*a^{b/2} 这将原问题划分为了两个半规模的子问题。

bb 为奇数时,我们可以先待定一个aa 然后再利用偶数的策略。

综上所述,有恒等式:

ab={(ab/2)2,b is even,a(a(b1)/2)2,b is odd.a^b=\begin{cases}(a^{b/2})^2,&b\text{ is even,}\\a(a^{(b-1)/2})^2,&b\text{ is odd.}\end{cases}

于是就可以将原问题划归为两个半规模的子问题。不仅如此,这两个子问题是完全一模一样的,不用需要重复计算。

下面给出伪代码(递归版本):

Algorithm:   Quick-Power(a,b)1.  if  bmod2=0  then2.  tmpQuick-Power(a,b/2)  return  tmp23.  else8.  tmpQuick-Power(a,(b1)/2)  return  a×tmp2\begin{aligned} &\text{Algorithm: }\;\text{Quick-Power}(a,b)\\\\ 1.&\;\mathbf{if}\;b\mod 2=0\;\mathbf{then}\\ 2.&\;\qquad tmp \leftarrow\text{Quick-Power}(a,b/2)\;\mathbf{return}\; tmp^2\\ 3.&\;\mathbf{else}\\ 8.&\;\qquad tmp \leftarrow\text{Quick-Power}(a,(b-1)/2)\;\mathbf{return}\;a\times tmp^2 \end{aligned}

不难得出,最坏时间有W(n)=W(n/2)+Θ(1)W(n)=W(n/2)+\Theta(1),因为可直接解得W(n)=Θ(logn)W(n)=\Theta(\log n). 而空间复杂度O(1)O(1).

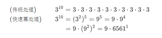
下面,我们以3103^{10} 为例,进行算法演示:

算法


3的10次方,指数是10,我们将指数 “拦腰截断” 变为5,底数平方一下变成9;(第一次循环)

9的5次方,指数是5,为奇数,先提出一个9,对9的4次方做和上面相同的处理;(第二次循环)

81的2次方,相同操作,得到6561的1次方;(第三次循环)

6561的1次方,指数是1,为奇数,提出一个6561,得到6561的0次方。最终结果就是之前提出的9和现在提出的6561相乘。

数学思维

可忽视下面的数学部分

上述算法,整体其实属于 数论 知识。事实上这种思想在数学中也随处可见。例如,这种思想在 高数·微积分学 中也有所体现:

数学体现

与模运算结合

当问题仍然是要求给出个位数,又或是modn\mod n 的结果是,我们又可以将前面学习的 取模运算规则 与快速幂算法相结合起来,具体体现就是在计算时先取模再相乘。

如:

示例

代码实现

C/C++ : 非递归实现

1
2
3
4
5
6
7
8
9
10
11
//使用快速幂算法优化的pow函数+取余优化
long long fast_pow(long long base,long long power,int mod_num){
long long res = 1;
while(power > 0){
if(power&1)//等效:power%2 == 1 /是否为奇数
res = (res * base) % mod_num;
power = power >> 1;//等效:power /= 2
base = (base * base) % mod_num;
}
return res;
}

矩阵与Fibonacci

矩阵快速幂

在线性代数中,矩阵乘法有着这样的定义:

matrix_mul

由此也可以轻易得到其计算代码:

1
2
3
4
5
6
7
for(i = 1; i <= n; i++){
for(j = 1; j <= n; j++){
for(k = 1; k <= n; k++){
c[i][j] = c[i][j] + a[i][k] * b[k][j];
}
}
}
  • 上述代码建立在左矩阵 a 和右矩阵 b 都是nn 阶方阵的情况,得到的结果是矩阵 c

那么将矩阵乘法与前面的快速幂算法结合,不就得到了矩阵求幂的快速算法了吗?

心动不如行动!

1
暂略

斐波那契数列| Fibonacci Sequence

有这样一组数:1、1、2、3、5、8、13、…… 这组数遵循一个 特定的规律,那就是除第一第二个数以外,其他数都是前两项数之和。

数学表达如下:

F(n)={1,n=1    n=2F(n1)+F(n2),n3\begin{aligned} F(n)=\begin{cases} 1,&n=1\;\text或\;n=2\\ F(n-1) + F(n-2) ,&n\geq3 \end{cases}\end{aligned}

这样的数列,称为 斐波那契数列fibonacci sequence别称:黄金分割数列、兔子数列 ).

在1730年,法国数学家 De Moivre 给出其通项公式:

通项公式

十九世纪初,法国数学家比内首先证明出这一表达式。因此该式也被称为比内公式。


补充:

类 斐波那契数列

F(n)={a,n=1b,n=2AF(n1)+BF(n2)+C,n3\begin{aligned} F(n)=\begin{cases} a,&n=1\\b,&n=2\\ A ·F(n-1) + B· F(n-2) + C,&n\geq3 \end{cases}\end{aligned}


那么,矩阵与Fibonacci有什么关系呢?

其实关系有许多,这里仅提供一种关系,如下:

矩阵与斐波那契1

因此,我们甚至可以通过矩阵求幂的方法,算出fibonacci sequence 的第n项!

1
2
3
4
5
6
7
8
9
10
11
12
13
14
15
16
17
18
19
20
21
22
23
24
25
26
27
28
29
30
31
32
33
34
35
36
37
38
39
40
41
42
43
44
45
46
47
48
49
50
51
52
53
54
55
56
57
58
59
60
61
62
#include<stdio.h>
#include<string.h>
#include<stdlib.h>
#include<algorithm>
using namespace std;

const int mod = 1e9 + 7;

struct Node
{
    long long mat[2][2];
    Node(){}
    Node(long long a_, long long b_, long long c_, long long d_)
    {
        mat[0][0] = a_;
        mat[0][1] = b_;
        mat[1][0] = c_;
        mat[1][1] = d_;
    }

    Node operator*(const Node &y) //运算符重载
    {
        // TODO: 矩阵乘法,注意取模
        Node x(0,0,0,0);
        for(int i = 0; i <= 1; i++){
            for(int j = 0; j <= 1; j++){
                for(int k = 0; k <= 1; k++){
                    x.mat[i][j] = x.mat[i][j]%mod + ((this->mat[i][k]%mod)*(y.mat[k][j]%mod))%mod;
                    x.mat[i][j] %= mod;
                }
                x.mat[i][j] %= mod;
            }
        }
        return x;
    }
};

Node Pow(Node a, int n)
{
    // TODO: 矩阵的快速幂
    Node x(1,0,0,1); //初始化为单位矩阵
    while(n > 0){
        if(n&1) x = x*a; //奇数情况
        n = n >> 1;
        a = a*a;
    }
    return x;
}

int main()
{
    int n;
    while(scanf("%d", &n) != EOF)
    {
        // TODO: 初始化用于推导斐波那契数列的矩阵
        Node x(1,1,1,0);
        Node ans = Pow(x, n);
        // TODO: 输出矩阵中对应的斐波那契第n项
        printf("%lld\n",ans.mat[0][1]);
    }
    return 0;
}

此外,对于 类斐波那契数列也有类似的关系:

矩阵与斐波那契2

我们花这么多篇幅讲这个,有什么含义呢?事实上,ACM中,将fibonacci和取模运用起来,出了一些典型的题目


经典例题

Number Sequence

Time Limit: 2000/1000 MS (Java/Others) Memory Limit: 65536/32768 K (Java/Others)
Total Submission(s): 243613 Accepted Submission(s): 62051

Problem Description

A number sequence is defined as follows:

f(1) = 1, f(2) = 1, f(n) = (A * f(n - 1) + B * f(n - 2)) mod 7.

Given A, B, and n, you are to calculate the value of f(n).

Input

The input consists of multiple test cases. Each test case contains 3 integers A, B and n on a single line (1 <= A, B <= 1000, 1 <= n <= 100,000,000). Three zeros signal the end of input and this test case is not to be processed.

Output

For each test case, print the value of f(n) on a single line.

Sample Input

1
2
3
1 1 3
1 2 10
0 0 0

Sample Output

1
2
2
5

很明显,这道题将我们前面所学到的知识:模运算、快速幂、矩阵快速幂、斐波那契数列 全部融合在一起了,那么,你能解决这道题了吗?


如果,你以为本文章就这么结束了,那么你就错了!

这道题,如果用到前面这些知识,代码量大,数据多,难以处理。那么我们还能用学过的什么来解决这个问题呢?

循环节问题|点击跳转

由于所求结果都是 mod 7.那么,答案就在 0~6 这个区间内!!!

而由斐波那契数列的定义我们知道,F(n)需要由F(n-1)和F(n-2)共同决定.

由组合数学的相关知识,结果有C71C71=49C^1_7 ·C^1_7 = 49 种组合(也可以看成是7进制数由00~66的个数),我们仅需枚举将前50个结果保存后,按需取出并输出即可。

AC code:

1
2
3
4
5
6
7
8
9
10
11
12
13
14
15
16
17
18
19
20
21
#include<iostream>
#include<stdio.h>
#include<string.h>
int main(){
using namespace std;
int n,d[1000],i,a,b;
while(cin >> a >> b >> n && n){
if(a == 0 && b == 0 && n == 0)
return 0;
for(i=1;i<=49;i++){
if(i==1)
d[i]=1;
else if(i==2)
d[i]=1;
else
d[i]=(a*d[i-1]+b*d[i-2])%7;
}
printf("%d\n",d[n%49]);
}
return 0;
}

等等,事实真的是这样吗?

这个问题确实可以通过循环节来做,但是实际情况中,一定是第一个结果一定在循环内部吗?

说得简单点:1、2、3、6、7、8、9、6、7、8、9、6、7、8、9

上述数据中,循环体是 6、7、8、9,而1、2、3并不包含在内哦。

同理,我们七七四十九,是否把范围缩小了呢?

建议看看这篇文章,找寻答案:https://donghuangzhong.github.io/2020/02/09/HDU-1005/


全文·完

参考资料

1.Rightmost Digit|HDOJ1061

2.快速幂算法|CSDN

3.矩阵快速幂算法|CSDN

4.斐波那契数列|百度百科

5.Number Sequence|HDOJ1005

6.HDU-1005解答|Hexo博客